M09: Lernen und Gedächtnis

Onlineveranstaltung 03


Prof. Dr. Nicolas Rothen, MSc Tobias Kühlwein, Dr. Michael Rihs








Diese Veranstaltung wird aufgezeichnet. Das Audiosignal Ihrer Wortmeldungen wird aufgezeichnet. Ihr Videosignal wird nicht aufgezeichnet.

Übersicht


  • Organisatorisches
  • Eigene Studie
  • Diskussion
  • Studie im Fokus
  • Fragen
  • Ausblick

Organisatorisches


  • Wo stehen wir?
  • Offene Fragen

Semesterplan


  • Episodisches Gedächtnis
  • Semantisches Gedächtnis
  • Abruf

Teilnahme an Experiment


Leistungsnachweis

  • Prüfungszulassung: Teilnahme am Experiment
  • Frist: eine Woche vor Prüfungsanmeldungsschluss
  • Ziel: seriöse Durchführung
  • Dauer: 3 x 75 min (an verschiedenen Tagen)

Eigene Studie



Ovalle-Fresa et al. (2021)

Zusammenhang mit Lehrbuch

Der Zusammenhang mit dem Lehrbuch ist durch das Kapitel «Episodisches Gedächtnis: Organisieren und Erinnern» gegeben, welches ausführlich auf das Konzept der «Levels of Processing» eingeht.

Hintergrund & Forschungsfrage


Hintergrund: LoP ➞ Tiefere semantische Verarbeitung = bessere Erinnerung


Forschungsfrage: Trifft LoP auch auf perzeptuelle Eigenschaften von visuellen Reizen zu?

Methode


  • Insgesamt 4 Experimente

    • Exp. 3: N = 58 (M = 22 Jahre, SD = 3.38)

      • 240 konkrete Objekte
    • Exp. 4: N = 59 (M = 23.53 Jahre, SD = 3.52)

      • 240 abstrakte Fraktale
  • Einfaktorielles Innersubjekt-Design

    • Verarbeitung: oberflächlich vs. tief
    • Ausbalanciert: jeweils die Hälfte der Reize

Aufgabe

Abhängige Variable


Sun et al. (2017)

Resultate

Erkenntnisgewinn


Erkenntnis

  • LoP ist auch auf perzeptuelle Eigenschaften von visuellen Reizen anwendbar, die schwer zu verbalisieren sind.
  • LoP ist genereller als die Forschung der letzten 50 Jahre vermuten lässt.


Gibt es alternative Erklärungsansätze für die Resultate?

Alternative Erklärungen


Selbstreferenz (z.B. Rogers et al., 1977)

Persönlich relevantes Material wird besser erinnert als neutrales Material (z.B. Levine & Edelstein, 2009)


Aufmerksamkeit

Enger vs. globaler Aufmerksamkeitsfokus (z.B. Bower & Karlin, 1974)


Relevanz

Farbe ist für eine Aufgabe (Gefallensurteil) relevant, aber nicht für die andere

Folgestudie


  • Replikation von Ovalle-Fresa et al. (2021): N = 158
  • Erweiterung mit alternativer Manipulation: N = 149
  • M = 38 years, SD = 11 years

Methode

  • Kodierungsphase: Aufgabe zur Grösse

    • Tief: Ist es im wirklichen Leben grösser oder kleiner?
      (erfordert semantische Verarbeitung)
    • Oberflächlich: Ist es auf dem Bildschirm grösser oder kleiner?
      (erfordert nur perzeptuelle Verarbeitung)
  • Testphase: Farbe auf Farbkreis einstellen

Beispiele

Oberflächlich
Tief

kleiner

grösser

kleiner

grösser

Hypothese


Vorhersage

Tiefe Verarbeitung führt zu besseren Leistungen als oberflächliche Verarbeitung!

Resultate

Erkenntnisgewinn


Tipp

  • Alternative Erklärungen konnten ausgeschlossen werden.
  • LoP ist auch auf perzeptuelle Eigenschaften von visuellen Reizen anwendbar.
  • LoP ist genereller als die Forschung der letzten 50 Jahre vermuten lässt.

Diskussion


  • Rückmeldung «Offene Fragen»
  • Verschiedene Arbeitsgedächtnismodelle
  • Kontextfluktuation
  • Signaldetektion

Rückmeldung «Offene Fragen»


  • 600 - 800 Wörter
  • länger ist nicht automatisch besser

Arbeitsgedächtnismodelle


Worin sehen Sie Gemeinsamkeiten und Unterschiede?

  • long-term working memory von Ericsson und Kintsch (1995) (K. 6, S. 182)
  • embedded processes model von Cowan (K. 4, S. 89)

Kontexfluktuation


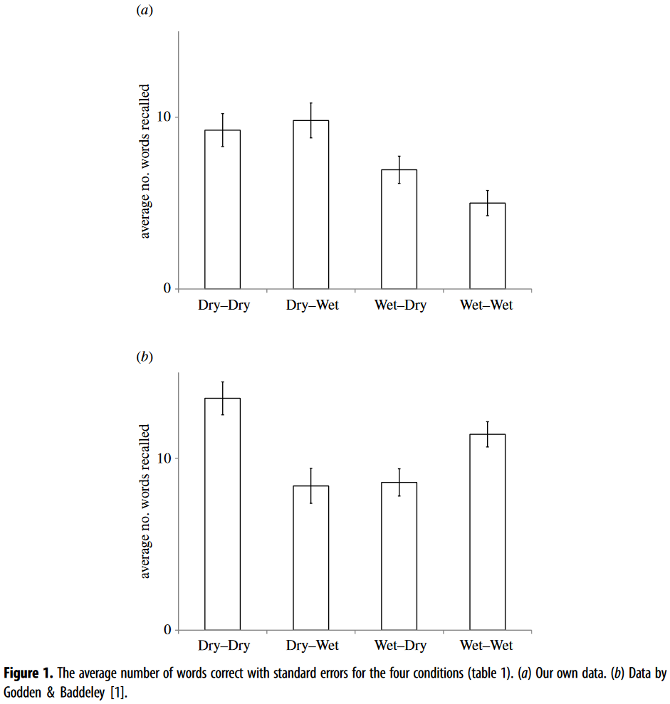
Kann man den Gedächtnisabruf verbessern, indem man mental in den Lernzustand oder die Lernumgebung zurückkehrt?

  • Kontextfluktuation als Schwierigkeit, gelernte Informationen nach Tagträumen abzurufen.
  • Mentales Zurückschalten in den Lernzustand könnte den Abruf unterstützen, ähnlich wie physischer Kontext (z.B. Wörter an Land vs. unter Wasser lernen).
  • Tagträumen könnte eher Interferenzen als den Zerfall von Gedächtnisspuren verursachen.
  • Interesse an der Beziehung zwischen Tagträumen und Kontext im Gedächtnisabruf.

Signaldetektion

Studie im Fokus

Baddeley et al. (2020), S. 255, Abb. 8.3 (vgl. auch Godden & Baddeley, 1975)

Murre (2021)

Fragen

Ausblick


  • Vergessen
  • Autobiographisches Gedächtnis
  • Augenzeugengedächtnis

Literatur


Baddeley, Eysenck, M. W., & Anderson, M. C. (2020). Memory (3. Aufl.). Routledge.
Bower, G. H., & Karlin, M. B. (1974). Depth of processing pictures of faces and recognition memory. Journal of Experimental Psychology, 103(4), 751–757. https://doi.org/10.1037/h0037190
Godden, D. R., & Baddeley, A. D. (1975). Context-dependent memory in two natural environments: On land and underwater. British Journal of Psychology, 66, 325–331. https://doi.org/10.1111/j.2044-8295.1975.tb01468.x
Levine, L. J., & Edelstein, R. S. (2009). Emotion and memory narrowing: A review and goal-relevance approach. Cognition and Emotion, 23(5), 833–875. https://doi.org/10.1080/02699930902738863
Murre, J. M. J. (2021). The Godden and Baddeley (1975) experiment on context-dependent memory on land and underwater: a replication. Royal Society Open Science, 8(11), 200724. https://doi.org/10.1098/rsos.200724
Ovalle-Fresa, R., Uslu, A. S., & Rothen, N. (2021). Levels of processing affect perceptual features in visual associative memory. Psychological Science, 32(2), 267–279. https://doi.org/10.1177/0956797620965519
Rogers, T. B., Kuiper, N. A., & Kirker, W. S. (1977). Self-reference and the encoding of personal information. Journal of Personality and Social Psychology, 35(9), 677–688. https://doi.org/10.1037//0022-3514.35.9.677
Sun, S. Z., Fidalgo, C., Barense, M. D., Lee, A. C. H., Cant, J. S., & Ferber, S. (2017). Erasing and blurring memories: The differential impact of interference on separate aspects of forgetting. Journal of Experimental Psychology: General, 146(11), 1606–1630. https://doi.org/10.1037/xge0000359


nicolas.rothen@unidistance.ch

https://www.linkedin.com/in/nicolas-rothen-43b01186/

https://www.nrothen.ch