Linear Algebra I
M04 — Fall 25
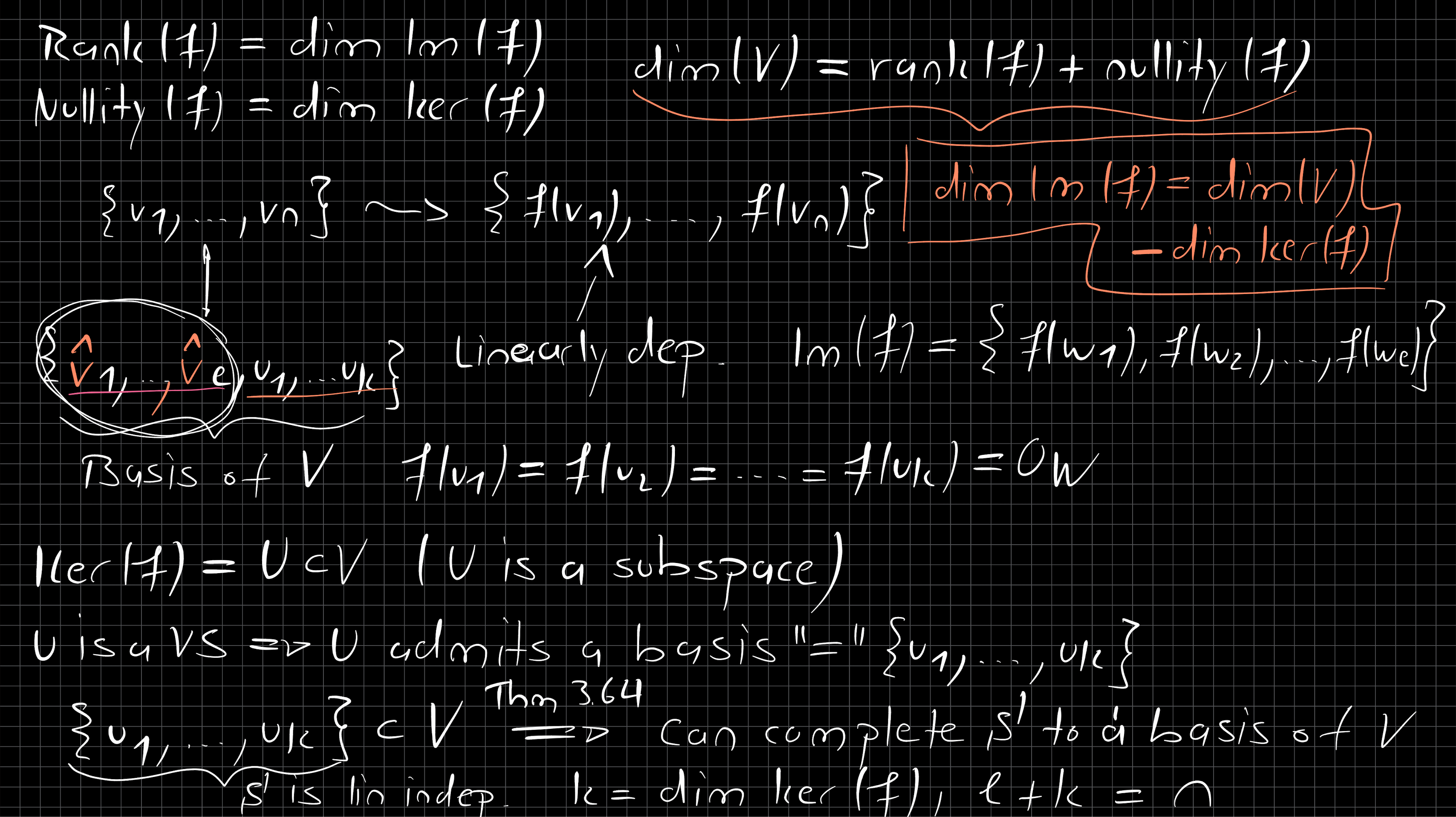
Lecture 3
Lecture 3 Documents
1 / 6
2 / 6
3 / 6
4 / 6
5 / 6
6 / 6
Linear Algebra I
Home
Contents
Exercises
Lecture Recordings
Quizzes
Study Weeks
✕